近日,公司海洋生物与生态教研室陈飚博士等在太阳集团122cc一区Top期刊Microbiology Spectrum发表了题为“The diversity, community dynamics, and interactions of the microbiome in the world’s deepest blue hole: insights into extreme environmental response patterns and tolerance of marine microorganisms”的研究论文。该研究基于微生物组学技术,对西沙群岛珊瑚礁区的世界最深蓝洞—三沙永乐龙洞(300.89m)14个深度剖面的水体微生物进行了研究,解析微生物主要功能类群(虫黄藻、细菌、真菌以及古菌)在不同深度极端环境下的多样性变化、生态特征及其生物地球化学循环功能差异。
研究结果显示:
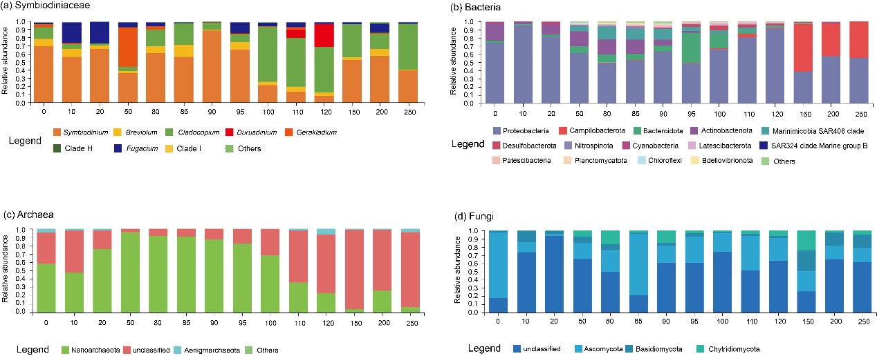
(1)虫黄藻广泛分布于三沙永乐龙洞中的富氧层(0-80m)、化变层(80-115m)以及深水厌氧层(115-300.89m)的水体环境中,其α多样性与古菌存在显著的正相关关系。由于虫黄藻与古菌存在部分生态位重叠,因此虫黄藻在无光、低溶解氧等极端环境下的生命活动依赖于具有共生潜能的古菌(Nanoarchaeota与Aenigmarchaeota)。
(2)三沙永乐龙洞水体中的真菌与细菌存在广泛的拮抗作用。细菌群落的α多样性与β多样性之间存在显著的负相关关系,其群落动态变化规律遵循安娜·卡列尼娜准则;而真菌群落的α多样性与β多样性之间则存在显著的正相关关系,这与微生物互作、寄生以及重寄生作用紧密相关。三沙永乐龙洞的真菌群落动态变化规律不遵循安娜·卡列尼娜准则。
(3)三沙永乐龙洞水体的核心微生物群由虫黄藻(Cladocopium)、细菌(Alteromonas、Ralstonia)、古菌(Woesearchaeales)以及真菌(Mycosphaerella tassiana、Recurvomyces、Penicillium cosmopolitanum)共同组成,其稳定存在于跨越富氧层、化变层与深水厌氧层14个深度剖面的水体环境中。微生物进化、环境驯化以及共生体系构建是驱动核心微生物群具备极端环境适应能力的关键要素。
(4)三沙永乐龙洞水体中的微生物存在活跃的交互作用,但其交互作用网络则主要由真菌驱动。龙洞水体微生物互作网络的复杂度在富氧层表面(0m)、化变层底部(110m)以及深水厌氧层底部达到峰值(250m)。该结果指示了三沙永乐龙洞不同水层交界面环境因子的突变与耦合作用是水体微生物互作与生命活动的主要驱动因素。
(5)细菌与古菌主要参与了三沙永乐龙洞水体中的碳循环、氮循环以及硫循环过程,而腐生营养型真菌则在微生物碳代谢中起到重要作用。1)碳循环。三沙永乐龙洞富氧层与深水厌氧层的碳循环主要由细菌与古菌共同驱动,而腐生营养型真菌与细菌则主导了化变层的碳代谢过程。2)氮循环。细菌与古菌共同参与了三沙永乐龙洞化变层的氮代谢过程,但深水厌氧层的氮代谢则主要由细菌驱动。3)硫循环。三沙永乐龙洞富氧层(化变层向上逸散)与深水厌氧层上边界的硫化物主要由古菌进行代谢,而化变层与深水厌氧层下边界的硫循环过程则主要由细菌驱动。上述结果指示了在三沙永乐龙洞水体中的4类微生物功能群具备差异的生态位和生物地球化学循环功能。
该研究拓展了学界对世界最深蓝洞微生物多样性、群落动态、环境响应模式以及耐受阈值的认识,并借助蓝洞的特殊生境条件验证了珊瑚礁微生物对极端环境响应机制与适应极限,指示了潜在的共生与互作关系能够极大拓宽微生物的生态位,并提升其在极端环境下生存能力。此外,该研究的发现将为进一步探索极端环境微生物起源、生态效应及其进化机制提供全新的研究视角。(陈飚/文 陈飚、论文/图 周剑/编辑 余克服/审核)
论文具体信息如下:
Chen Biao, Yu Kefu, Fu Liang, Wei Yuxin, Liang Jiayuan, Liao Zhiheng, Qin Zhenjun, Yu Xiaopeng, Deng Chuanqi, Han Mingwei, and Ma Honglin. (2023). The diversity, community dynamics, and interactions of the microbiome in the world’s deepest blue hole: insights into extreme environmental response patterns and tolerance of marine microorganisms. Microbiology Spectrum. doi: 10.1128/spectrum.00531-23.
论文链接:https://journals.asm.org/doi/10.1128/spectrum.00531-23

论文首页

图1 三沙永乐龙洞地理位置与水体样本采集深度

图2 三沙永乐龙洞水体微生物群落组成

图3 三沙永乐龙洞水体微生物群落结构

图4 三沙永乐龙洞水体微生物群落动态及其与环境要素的映射关系

图5 三沙永乐龙洞水体核心微生物群组成及其变化规律

图6 三沙永乐龙洞水体微生物的生物地球化学循环功能富集特征

图7 基于三沙永乐龙洞水体微生物α多样性的线性回归分析

图8 三沙永乐龙洞水体微生物交互作用网络及其复杂度变化